มีการบ้านนิดหน่อยจากท่านอาจารย์ UK

และเห็นเป็นเรื่องน่าสนใจ เลยลองค้น papers อ่านดูนะครับ
ยิ่งตอนนี้ทันตแพทย์สมาคมออก Guidline ที่ละเอียดมาแล้วด้วย จึงทำให้เปรียบเทียบได้ง่าย

บทความนี้จะใช้ paper นี้เป็นแกนหลักในการเขียน

เนื่องจาก ENT ต้องทำงานใน upper aerodigestive tract จากการตระหนักถึงการติดเชื้อใน HCW ของการระบาดในช่วงแรก ( มกราคม 2020) ใน Wuhan จึงทำให้เกิด strict safety precautions ตามมา ในงาน ENT ยกตัวอย่างเช่น การทำ Tracheostomy ในผู้ป่วยที่เป็น C0VID-19 ถือว่าเป็นงานที่มีความเสี่ยงสูงมาก

หัวใจหลักคือ การจัดการกับ aerosol และ droplet contamination เหมือนทันตแพทย์
แม้ยังไม่มีข้อมูลแน่ชัดสำหรับความเสี่ยงของหมอ ENT แต่จากจำนวนผู้ป่วยในช่วงแรกของการระบาด COVID-19 ในผู้ป่วยที่ admit ทั้งหมด 138 คน เป็น HCWs ถึง 40 คน และถ้าย้อนไป SARS outbreakใน Canada ปี 2003 51% ของเคสทั้งหมด 438 เคส เป็น HCWs ในจำนวนนี้ 3 HCW ตายจากเคสที่เกี่ยวข้องกับ SARS
แต่ในอีกด้านนึงมี paper ที่รายงานถึง HCW ในสิงคโปร์ 41 คน ซึ่งดูแลผู้ป่วย severe pneumonia (ที่ได้รับการ Dx ในภายหลังว่าเป็น COVID-19 ) โดยไม่มีใครติดเชิ้อจากการทำงานในระยะใกล้กับผู้ป่วยเหล่านี้เลย ทั้งการใส่ tube และ off tube ในจำนวน HCW เหล่านี้ 85% ใส่ surgical mask และที่เหลือใส่ N95
แสดงให้เห็นว่า ถ้ามี Precautions ที่ดี ทำให้ HCWs ทำงานได้อย่างปลอดภัย แต่ปัจจุบันยังไม่มี Protocols สำหรับการตรวจและการรักษาพื้นฐานใน ENT (head&neck exam, endoscopy ของ nose,sinuses,larynx,tracheostomy etc.)แต่จะเป็นในลักษณะที่แต่ละ field ไปสร้าง guideline กันเอง (เหมือนที่ทันตแพทยสมาคมสร้างสำหรับทันตแพทย์)
ดังนั้น guideline ที่เสนอนี้จึงปรับจาก IC ที่มีอยู่เดิมแล้ว ดังรายละเอียดข้างล่าง

1.กลยุทธ์ที่นำมาใช้เป็นสิ่งแรก คือ การเลื่อนนัดผู้ป่วยในเคสที่ไม่เร่งด่วนออกไปก่อน เช่น Benign tumors ต่างๆ, คนไข้ที่อยู่ในระหว่างนัด F/U ยกเว้นมีปัญหาเร่งด่วนจะเริ่มจากให้คำปรึกษาทางโทรศัพท์, telemedicine และถ้ามี emergengy sign เช่น กลืนลำบาก หรือมีปัญหาด้าน Airway จึงเข้าระบบนัดและขบวนการคัดกรอง COVID ก่อนพบแพทย์
2.การใช้ PPE มีหลักการเหมือนกับของทันตแพทย์ ยกเว้นการใช้ respirator ขั้นสูงสุด คือ PAPR (Powered Air-Purifying Respirator)
ถ้ายังไม่เห็นภาพ ต้องทำความเข้าใจค่า APF ก่อน
Assigned Protection Factor (APF) คือ ค่ามาตรฐานความปลอดภัยของสารที่ต้องการป้องกัน
N95 มีค่า APF = 10 หมายความว่า N95 มีประสิทธิภาพการป้องกันสูงสุดไม่น้อยกว่า 10 เท่าของค่ามาตรฐานความปลอดภัยของสารที่ต้องการป้องกัน
ส่วน PAPR จะมีค่า APF อยู่ระหว่าง 25-1000
การใช้ PARP มีข้อได้เปรียบกว่า N95(+ tight-fitting Goggle) ในแง่ reduce risk of exposure แต่มีข้อเสียเรื่อง ลด field การมองเห็น และข้อจำกัดในการใช้อุปกรณ์อื่นร่วม เช่น ไฟส่องสว่างแบบสวมหัว, stethoscope การตัดสินใจใช้ PARP หรือ N95 จะขึ้นกับ Operation plan ที่จะ setting ขึ้นนั้นๆ

แต่ข้อแตกต่างที่สำคัญคือ Operation ของ ENT ในโรงพยาบาลสามารถ identify คนไข้ที่ positive COVID-19 ได้จาก facilities ของ lab การ classify ตามระดับ risk จาก COVID status ของคนไข้จึงทำได้แม่นยำกว่า (test COVID ภายใน 48 ชม.ก่อน Operation)
จริงๆ มันเป็นปัญหาสำคัญที่สุดในฝั่งทันตแพทย์เลยหละ เพราะถ้าเราสามารถ identify คนไข้ COVID ให้ได้แบบนี้ การทำงานจะง่ายตั้งแต่ Examination ครับ
อย่าง ENT ถ้ารู้ว่าคนไข้ + COVID การแยกห้องจะเริ่มตั้งแต่ขั้นตอนการตรวจ เพราะการตรวจทาง ENT จะมีลักษณะเฉพาะ คือ
1. การส่องกล้อง Endoscopy ของ nose,sinuses, oropharynx, hypopharynx, larynx ถือเป็น aerosol-generating procedure
2. nose และ pharynx เป็น reservoir ที่มี high concentration ของ SAR-CoV-2
3.ภายหลัง operation อาจมี virus particles เป็น airborne ได้นาน 3 ชม. หรือนานกว่านั้น
ดังนั้นจึงถือหลักการทั้ง 3 ข้อนี้ เป็น IC ในการตรวจ endoscopic ที่มี mucous membrane เกี่ยวข้องบริเวณ Head&Neck ทุกกรณี
นอกจากนั้นยังใช้หลักในข้อ 1 (การเลื่อนเคสที่ไม่เร่งด่วน) คือ เฉพาะผู้ป่วยที่อยู่ใน indication ที่ต้องตรวจจริงๆ และถ้าทำได้ใช้ห้อง negative pressure

ข้อแนะนำเพิ่มเติมคือ
-ถ้าใช้ topical anes หรือ topical decongestion ก่อนส่องกล้องให้เลี่ยงการใช้ spray แต่ใช้วิธีชุบแล้วทาแทน แต่ถ้ามีขบวนการที่ต้องใช้ topical anes spray แบบเลี่ยงไม่ได้ ควร delay if possible
-การ Drain peritonsillar abscesses แนะนำให้ใช้ Antibiotic หรือ Needle drainage แทนการเข้าไปเปิดโดยตรง
– ขบวนการที่ทำให้ผู้ป่วยไอ เช่น การ remove foreign body ในขณะที่คนไข้รู้สึกตัว ควรเปลี่ยนมาทำ Under GA แทน
– ใน Operation room ให้ลด staff ที่ไม่เกี่ยวข้องโดยตรงให้มากที่สุด และถึงแม้ในผู้ป่วยที่ตรวจแล้ว negative COVID หรือไม่ทราบ COVID status และ asymptomatic แต่ถ้าเป็น high-risk operation การเลือกใช่ PPE ต้องจัดเต็มครับ เพราะ การตรวจ COVID ไม่ครอบคลุมคนทั้งหมด ทำให้ prevalence ของโรคนี้มักไม่ใช่ตัวเลขของผู้ติดเชื้อจริงในชุมชนนั้นๆ (หมายความว่า อาจเจอ false negative ได้สูง)
Operation อะไรบ้างที่ถือเป็น High-risk procedures ของ ENT?
1. Intubation&Extubation
2.Pt transport
3. Endoscopic Sinonasal and Skull Base Surgery
4. Thyroidectomy and Neck Procedures
จริงๆ อันนี้ไม่ expose mucosal surfaces แต่ยังถือว่ามี blood และ gastrointestional secretions จึงจัดเป็น high-risk (ล่าสุดตอนนี้ เชื่อไปในทางที่ไม่มี vital SARS-CoV-2 ใน bloodstream)
5.Ear surgery
ปัจจุบันยังไม่มีหลักฐานว่า mucosa lining ใน middle ear และ mastoid air cell system แต่เนื่องจากมี respiratory airway involve จึงถือว่า contaminated ได้ ถ้ามีการใช้เครื่องมือ drill ผ่าน mastoid เช่นการทำ Mastoidectomy ผู้ป่วยควรทำ COVID test ก่อน ถ้าพบว่า + ve ให้เลื่อนไปจนกว่าจะรักษา COVID หาย
6. Facial trauma
7. Tracheostomy
โดยทั่วไปควรหลีกเลี่ยง หรือ delay อย่างน้อย 14 วัน (ตัวเลข 14 วัน คือให้ Acute phase of infection ผ่านไปก่อน) โดยเฉพาะ early tracheostomy ในผู้ป่วย +ve COVID ควรเลี่ยงการทำเด็ดขาด ด้วยเหตุผล 2 ข้อ จาก RCT ของผู้ป่วยที่ on Mechanical ventilation
(1.) high viral load ทั้ง location และ timing
(2.) ถือว่าไม่ improve mortality หรือลดเวลาที่อยู่ใน ICU
แต่ถ้ามีความจำเป็นต้องทำ
(1.) select case
(2.) ทำ Percutaneous dilatational tracheostomy ถ้าประเมินแล้วปลอดภัย
(3.) ให้ sedation ที่เพียงพอเพื่อป้องกันการไอ
(4.) เลือกขนาด tube ให้เหมาะกับ tracheostomy hole ที่เล็กพอ และ cuff ที่พองตัวพอเพื่อ seal upper airway ไม่ให้มีโอกาส spread virus particles
(5.) ใช้ close suction system ที่มี viral filter ตลอดขบวนการทำ
(6.) ใช้ Heat Moisture Exchanger device (HME) แทน tracheostomy collar เพื่อป้องกัน spead และ reinfection

(7) เลี่ยงการเปลี่ยน tube จนกว่า viral load ของคนไข้จะลดลงให้น้อยสุดเท่าที่ทำได้
ส่วนข้อสังเกตตรงนี้ที่ label สีเขียวเหมือน Guideline ของทันตแพทยสมาคมที่ออกมาครับ

PPE ระดับสูงสุดของ ENT ใน OR จะเป็นแบบนี้ครับ คือ ชุด Cover all+N95 หรือ Cover all+PAPR


ส่วน PPE ของทันตแพทย์จะไม่ต้องถึงระดับ Cover all+PAPR ครับ ก็จะประมาณรูปนี้

โดยสรุปใช้ Principle คล้ายกันมาก ทั้งการเลื่อนนัดเคสที่ยังไม่เร่งด่วน, การใช้ PPE และการ setting การทำงานทั่วไป แยกเป็นโอกาสที่จะเกิด risk จากความยากของงานและลักษณะเฉพาะของ Operation นั้นๆ
แต่พบว่ามีแนวคิดอย่างนึงที่ค่อนข้างต่างกันมาก ไม่น่าเชื่อคือ เรื่องนี้อีกแล้วครับ
เป็นเรื่องที่ค่อนข้างใหม่สำหรับทันตแพทย์ และใหม่สำหรับ ENT เช่นกัน
ในฝั่งทันตแพทย์ ผมอิงตาม Guideline ของทันตแพทยสมาคมละกันครับ

ความต่างกันตรงนี้มาจากหลักคิดและความเชื่อที่ต่างกัน 2 ประการครับ
(1.) ทันตแพทย์จะเชื่อ CHX เป็นหลัก และให้ผู้ป่วยเป็นผู้บ้วนปาก ก่อนทำหัตถการ
(2.) หมอ ENT จะใช้ Povidone iodine เป็นหลัก และให้หมอเป็นผู้กลั้วคอ ก่อนกลับบ้าน
ทำความเข้าใจก่อนว่า ไม่ใช่ Guideline แต่เป็น Recommendation ของ ENT นะครับ



ลองมาทำความเข้าใจ papers นี้กัน
1. ทำไม Povidone iodine จึงเหนือกว่า CHX ในการทำลายเชื้อใน family Coronavirus
paper นี้เป็นการทำในหลอดทดลองนะครับ โดยจำลองสภาวะที่มีการปนเปื้อนในหลอดด้วย RBC เทียบกับหลอด control ที่อยู่ในสภาวะ clean
วิธีทำคือ ใช้ Povidone iodine เพียงตัวเดียวในความเข้มข้นเริ่มต้นที่ 7% แล้วเจือจางด้วยน้ำที่ความเข้มข้นต่างๆ โดยอยากจะดูผลที่การเจือจางตามที่บริษัทผู้ผลิตแนะนำ (คือที่ 0.23% หรือ dilute 1:30) ในการฆ่าเชื้อ bacteria (ใช้ Strep gram + และ Krebsiella gram -) และเชื้อ virus (ใช้ 4 ตัว คือ Influenza type A subtype H1N1, SARS-CoV, MERS-CoV, Rotavirus)
(จะเห็นว่า ไม่ได้ทดสอบกับ SARS-CoV-2 นะครับ)

ผลออกมาคือ Povidone iodine สามารถฆ่าเชื้อทุกตัวในหลอดทดลองที่ความเข้มข้น 0.23% โดยต้องสัมผัสเชื้อเป็นเวลาอย่างน้อย 15 วินาที

สรุปคือ Povidone iodine ที่มีขายเชิงพาณิชย์ในรูปของน้ำยาบ้วนปาก น่าจะมีผลในการอมกลั้วคอเพื่อฆ่าเชื้อจริง
-กลไกที่ทำลาย Influenza H1N1 คือ ไป inhibit viral Haemagglutinin binding activity และ viral Neuraminidase catalytic hydrolysis
-กลไกการออกฤทธิ์ต่อ bacteria คือ free iodine ที่หลุดจาก Povidone iodine complex จะ penetrate ผนังเซลล์ แล้วไป form complexes กับ amino acid และ กรดไขมันไม่อิ่มตัวในเซลล์ เกิด cell inactivation จากการยับยั้งการสังเคราะห์ protein ,เปลี่ยนสภาพ cell membrane และรบกวน metabolic pathways
–จุดประสงค์ในการเน้นไปที่การกลั้วคอ (มากกว่า mouth rinse) สำหรับการฆ่าเชื้อ respiratory virus ก็เพราะต้องการผลของ Povidone iodine ไปยับยั้ง Protease enzyme ที่คอ (เรารู้ว่า มันจะไป replication ที่นั่น มากกว่าในปาก)

– ส่วนตรงนี้เป็น paper ที่ paper นี้ refer ถึง การเปรียบเทียบระหว่าง Povidone iodine, CHG (ของทันตแพทย์จะย่อเป็น CHX) และ CPC (cetylpiridium chloride gargles) แต่ผมหาความเข้มข้นของ PVP-I และ CHG ที่ใช้ไม่เจอครับ และ อย่าลืมว่า ทำเพื่อดู Bactericidal เท่านั้น ไม่เกี่ยวกับ virus ครับ

พวก Antiseptic เหล่านี้ ทั้ง PVP-I และ CHX (ขอใช้ X เพราะความคุ้นเคย) ผลิตออกมาในรูปแบบและความเข้มข้นต่างๆ กัน ทั้งเป็น Gargle และ Handwash ครับ จุดประสงค์ก็คือ เพื่อดักทางการ transmission ทั้งการสัมผัส droplets ขนาดใหญ่ด้วยมือ และ droplets nuclei ขนาดเล็ก ที่กระเด็นเข้า Upper respiratory tract
การล้างมือด้วย Antiseptic ทั้ง 2 ตัว มี paper ที่เทียบกันอยู่ (ย้ำว่าในรูปแบบของ Handwash)

เทียบระหว่าง PVP-I 7.5%, CHX 4% และน้ำสบู่ ต่อการฆ่าเชื้อ E. coli (เลือกตามมาตรฐาน EN1499, ปลอดภัยในการทดสอบภายนอกร่างกาย) และ MNV (murine norovirus) ที่เลือกใช้ virus ตัวนี้เพราะไม่ก่อให้เกิดโรคในมนุษย์ (การทดลองทำในอาสาสมัคร 15 คน ทดสอบก่อนและหลังล้างมือด้วย anticeptic)

ผลการศีกษาพบว่า ทั้ง PVP-I และ CHX สามารถทำลาย E.coli ได้อย่างไม่มีปัญหาครับ แต่ฤทธิ์ในการฆ่า virus (MNV) นั้น PVP-I ทำได้ดีที่สุด รองลงมาคือ น้ำสบู่ และ CHX ทำลาย virus ได้น้อยที่สุดครับ
ผลตรงนี้อยู่ที่หน้า 13

ทำไม CHX 4% Handwash จึงมีประสิทธิภาพใน virucidal activity น้อยกว่าสบู่ล้างมือธรรมดา ?
กลไกการทำงานของ CHX มันจะเริ่มด้วยคำว่า Dication ไปเข้าทำที่ประจุ – ที่ cell wall ของ bacteria

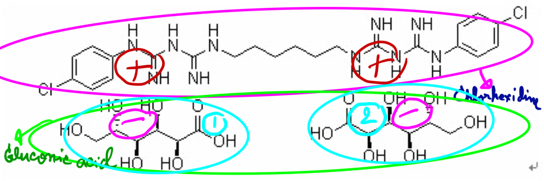
ไม่ต้องงง ทำไมใช้ CHX หรือ CHG นะครับ คือ CHX (Chlorhexdine) ซึ่งเป็น active substance ของ CHG (Chlorhexide Gluconate) เวลาพูดถึงเราจะเอ่ยถึง CHX หรือ CHG ก็ให้เข้าใจว่า สนใจเฉพาะส่วนที่เป็นสารออกฤทธิ์ (CHX) เท่านั้นครับ ต่างกันแค่เรียกแบบเต็มในรูป salt (CHG) หรือรูป ion (CHX)
ต้องเข้าใจคำว่า Dication ของ CHX ให้ได้ก่อน
จากรูปคือ โครงสร้างโมเลกุลของ CHG เราจะเห็นว่า โมเลกุลของ Chlorhexidine (CHX) 1 โมเลกุลจะจับกับ Gluconic acid 2 โมเลกุล
ดังนั้นเมื่อ Gluconic acid แตกตัวออกไปเป็น Gluconic ion ประจุลบ 2 โมเลกุล จึงทำให้ Chlorhexidine (CHX) ที่เหลือกลายเป็นสาร 1 โมเลกุลที่มีประจุบวก 2 ตำแหน่ง ในที่สุด
ตรงนี้คือ ลักษณะที่เรียกว่า Di-cation นั่นเองครับ

คุณลักษณะ Dication ของ Chlorhexidine ทำให้เกิดคุณสมบัติ 2 อย่าง ที่ทราบกันดี
1. เข้าทำที่ประจุ –
2. เกิดการ adhesion และ retention ที่ดีใน oral mucosa ทำให้ออกฤทธิ์อยู่ได้นานมาก
แต่มันดันทำให้เกิด retention ของ virus อยู่บน surface ของด้วยเช่นกัน
Retention phenomenon นี้ไม่เกิดเฉพาะกับ virus เท่านั้นแต่ยังเกิดได้กับ bacteria ในกลุ่ม gram – อย่างเช่น Acinetobacter baumannii อีกด้วย (A. baumannii เป็น Oppotunistic pathogen ในผู้ป่วย immune compromised host)

สรุปถึงตรงนี้ เราเคยสงสัยการทดสอบ CHX ถึงฤทธิ์ virucidal จากความเข้มข้นของการทดสอบที่ต่ำกว่าที่เราใช้ mouth wash (0.12%)
แสดงการศึกษา CHX ที่เป็น Disinfectant นะครับ ไม่ใช่ Antiseptic (เป็นวิธีใช้ทำความสะอาดพื้นผิววัตถุ ไม่ใช้ในมนุษย์) จะเห็นว่า ใช้ CHX ที่ความเข้มข้น 0.02% ซึ่งต่ำกว่า form ที่เป็น mouth wash ถึง 6 เท่า (= 0.12%/0.02%) ตอนที่อ่านเจอทำให้ผมสงสัยว่า เพราะ ความเข้มข้นที่ต่ำเกิน จึงอาจไม่ effective ต่อกลุ่ม Coronavirus
แต่ผลจากการศึกษาเรื่อง Handwash ที่ยกมาใช้ความเข้มข้น CHX ในระดับที่สูงกว่า mouth wash มาก ก็ยังได้ effective ต่อ virus ที่แย่กว่าน้ำสบู่ซะอีก
ดังนั้นถ้าปรับได้ในความเห็นของผม จึงควรเปลี่ยนไปใช้ PVP-I 0.23% จะให้ความมั่นใจมากกว่า ในผู้ป่วยที่ไม่มี contraindication ต่อ iodine ครับ

ข้อต่อไป ทำไม HCW จึงควรใช้ PVP-I กลั้วคอหลังเลิกงาน ก่อนกลับบ้าน?
มี paper ศึกษา Sensitivity ของการตรวจ specimens ด้วยน้ำลาย เทียบกับ nasopharyngeal swab เพื่อจะดูว่า สามารถนำน้ำลายมาตรวจแทนการ swab ได้มั๊ย?

การศึกษานี้แยกกลุ่มทดสอบเป็น 2 กลุ่ม
กลุ่มแรกเป็นผู้ป่วย 44 คน ที่ตรวจแล้วว่ามี + COVID test ด้วย nasopharyngeal และ/หรือ oropharyngeal swab แล้ว admit ที่ Yale New Haven Hospital
กลุ่มที่ 2 เป็น HCW 98 คนที่ไม่มีไข้, ไม่มี respiratory symptom แต่ทำงานใกล้ชิด ดูแล ผู้ป่วย COVID-19 โดยเก็บ specimens ทุก 3 วัน เป็นเวลา 2 wk
ที่น่าสนใจคือ กลุ่มที่ 2 ครับ พูดง่ายๆ คือ เป็นการตรวจ HCW ที่คาดว่า ไม่น่าจะมีอะไรนะ แต่ผลที่ออกมา surprise มาก คือ พบ HCW 2 คน มี + COVID test จากน้ำลาย แต่พบปริมาณเชื้อที่ต่ำกว่าที่ตรวจพบในผู้ป่วยที่ symptomatic ครับ (เจอเชื้อในปริมาณต่ำมาก และ HCWs ทั้ง 2 คนนี้ asymptomatic)

ถ้าจะถามว่า ระดับเชื้อในน้ำลายของ HCW ที่บอกว่าต่ำกว่าน้ำลายคนไข้ COVID-19 ที่มีอาการแล้วนั้น ต่ำกว่าขนาดไหน?
คำตอบคือ ปริมาณเชื้อ SAR-CoV-2 ในน้ำลายของคนที่ไม่มีอาการ (Asymptomatic) ต่ำกว่า 100,000 เท่าเมื่อเทียบกับปริมาณเชื้อของคนไข้ที่มีอาการ (Symptomatic) ไปแล้วครับ ( = 10ˆ10/ 10ˆ5 copies/ml)
(ตรงนี้อย่าไปสับสนกับปริมาณ viral load ที่ Oropharynx ของคนที่ติดเชื้อแต่ไม่มีอาการ (Presymptomatic และแพร่เชื้อได้ แล้ว symptomatic ในเวลาต่อมา) กับ กลุ่มคนติดเชื้อแล้วมีอาการแล้วนะครับ เป็นคนละกรณีกัน)

เผื่อให้เข้าใจมากขึ้น
รูปแบบของผู้ติดเชื้อ COVID-19 ในชุมชน เขียนในรูป Set ได้แบบนี้ครับ
U = ประชากรในชุมชนทั้งหมด
P = ผู้ที่ตรวจพบ + COVID จาก swab RT-PCR test
A = ผู้ที่ตรวจพบ + COVID จาก swab RT-PCR test แต่ Asymptomatic
S = ผู้ที่ตรวจพบ + COVID จาก swab RT-PCR test และ Asym ในตอนแรก แต่ต่อมา Symptomatic
S’ = ผู้ที่ตรวจพบ + COVID จาก swab RT-PCR test และ Symptomatic ตั้งแต่แรก = P-A
จะเห็นว่า S เป็น subset ของ A เพราะ ในกลุ่มที่ + COVID จะมีคนที่ไม่แสดงอาการในช่วงแรก แต่เมื่อเวลาผ่านไป จะกลายเป็น กลุ่มที่ Presymptomatic และกลายเป็น กลุ่มที่ Symptomatic ในที่สุด
เมื่อพิจารณาจะเห็นว่า กลุ่มประชากร A ทำให้เกิดปัญหาเยอะมาก ในการวางมาตรการป้องกันการแพร่ระบาดต่างๆ เพราะมีคนที่ไม่มีลักษณะทางคลินิกปรากฏในช่วงแรก แต่ยังสามารถ transmission ได้

ดังนั้นจึงมีคำแนะนำว่า HCW ที่ทำงานใกล้ชิดผู้ป่วย COVID โดยตรง หรือ ในกลุ่มผู้ป่วยทั่วไป (คือเราอาจจะเจอกลุ่ม A โดยไม่รู้ตัว) ควรกลั้วคอด้วย Povidone iodine หลังเลิกงานที่โรงพยาบาลหรือคลินิกในแต่ละวัน ด้วยจุดประสงค์ 2 อย่าง
1. กำจัด oral/pharyngeal protease ซึ่งช่วย viral replication
2. Virucidal activity เชื้อปริมาณเล็กน้อยที่อาจรับมาจากผู้ป่วย และสะสมที่ Oropharynx โดยตรง
ผลทั้ง 2 ข้อ คือจะไม่ทำให้เชื้อ(ถ้ามี) ลงไปใน respiratory tract ที่ระดับล่างขึ้นไปอีกนั่นเองครับ

Ref:
2. https://link.springer.com/content/pdf/10.1007/s40121-018-0200-7.pdf
3. https://www.ncbi.nlm.nih.gov/pmc/articles/PMC5986686/
4. https://www.jpbms.info/index.php?option=com_docman&task=doc_download&gid=1391&Itemid=41
5.https://www.thaidental.or.th/main/download/upload/upload-204212114415506.pdf
6.https://www.thaidental.or.th/main/download/upload/upload-204220004306024.pdf
7.https://m.facebook.com/groups/thaient/permalink/2991199310941706/
8.https://www.journalofhospitalinfection.com/article/S0195-6701(20)30046-3/fulltext
9.https://www.medrxiv.org/content/10.1101/2020.04.16.20067835v1.full.pdf
