
ฟิสิกส์การเคลื่อนที่และการสะท้อนของแสงใน Class ของโรงเรียน คุณครูจะสอนเรื่องการเกิดภาพในทัศนอุปกรณ์ที่มีชิ้นส่วนหลักคือ เลนส์และกระจกชนิดต่างๆ และเมื่อทำแบบทดสอบ ลูกจะได้เจอโจทย์คล้ายๆ แบบนี้

หลักการที่ลูกได้จากห้องเรียนคือ
1.แสงเคลื่อนที่เป็นเส้นตรง
2. เมื่อไปเจอตัวกลางหนึ่ง จะเกิดการตกกระทบและการสะท้อน โดยมุมตกกระทบ = มุมสะท้อน
ข้อนี้เป็นจริง ในทุกพื้นผิวกระจก

การเกิดภาพที่ basic ที่สุดที่ลูกคุ้นเคย คือ การเกิดภาพในกระจกเงาชนิดแบนราบ (Plane (flat) surface mirror) ที่ส่องตอนแต่งตัวไปโรงเรียนทุกเช้า
(เทคนิคการหาภาพที่เกิด โดยพื้นฐานของเรื่องนี้จะใช้วิธีทางเรขาคณิตในการวาด รวมทั้งใช้จินตนาการในหัวหลังจากเราเคยวาดภาพนั้นๆ ได้แล้ว)
วิธีการหาตำแหน่งภาพจะใช้เส้นหลักๆ อยู่ 3 เส้น คือ
1. เส้นรังสีตกกระทบ
2. เส้นรังสีสะท้อน
3. แกนมุขสำคัญของกระจก

จากคุณสมบัติของสามเหลี่ยมคล้ายที่มุมของสามเหลี่ยม 1 (สีชมพู) และ 2 (สีฟ้า) เท่ากันทั้ง 3 มุม และมีด้านประกอบสามเหลี่ยม เท่ากันอย่างน้อย 1 ด้าน สามเหลี่ยมทั้ง 2 รูป จะมีด้านทุกด้านเท่ากันทุกประการ
ระยะวัตถุ = S = ระยะภาพ = S’
รวมทั้งขนาดวัตถุ (ลูกศรสีเหลือง) ก็เท่ากับ ขนาดภาพ (ลูกศรสีเหลืองหลังกระจกด้วย)

จะเห็นว่า ขึ้นต้นบทความเรื่อง “ทันตแพทย์ถือกระจกเว้าร้ศมีความโค้ง…” แล้วทำไมพูดเรื่องกระจกเงาแบนราบ?
ลองมาดูการสืบค้นใน Google กัน
จะเห็นว่า คนทั่วไปยังเชื่อว่า ทันตแพทย์ใช้ mouth mirror ที่ทำมาจากกระจกเว้าในการตรวจฟัน แต่ที่จริงแล้ว กระจกที่ทันตแพทย์ตรวจคนไข้ เราไม่ได้ใช้กระจกเว้ากันมานานแล้ว (บทบาทของ Concave mouth mirror ถูกจำกัดใช้ในหัตถการบางงานเท่านั้น)

mouth mirror ที่ใช้ คือ กระจกเงาชนิดแบนราบนี่หละ

ทำไมปัจจุบันเราจึงไม่ใช้กระจกเว้ามาทำ mouth mirror ที่ใช้ในงานทันตกรรมทั่วๆไป?
ตอบ เพราะภาพที่เกิดจากกระจกโค้งทุกชนิด ทั้ง กระจกนูน (convex mirror) และกระจกเว้า (concave mirror) ทำให้เกิดภาพที่บิดเบี้ยว (distort) และปัจจุบันเรามีอุปกรณ์ที่ขยายภาพได้ดีกว่านั่นเอง
ภาพที่ได้จากกระจกโค้ง distort ขนาดไหน?
ขอยกตัวอย่าง ภาพที่เกิดจากกระจกนูนที่พบได้ตาม junction ในถนนเล็กๆ
ภาพจากกระจกนูนไม่ว่า วัตถุจะอยู่ในระยะใด ภาพที่ได้จะเป็นภาพขนาดเล็กกว่าวัตถุจริงเสมอ
ภาพที่ได้จะคล้ายเราส่องกระจกเงาชนิดแบนราบ คือ ภาพที่ได้จะเป็นภาพหัวตั้ง กลับซ้ายขวา แต่ที่ไม่เหมือนคือ ขนาดภาพจะเล็กกว่าวัตถุเสมอ (จะมีระยะเดียวที่ขนาดภาพ เท่าขนาดวัตถุจริง คือ ต้องเราต้องนำวัตถุนั้นมาแนบชิดผิวกระจกกันเลย)
จากรูปในกระจก สัดส่วนของคนและบ้านเรือนจะเห็นว่า บิดเบี้ยวจากวัตถุจริง

จำภาพที่เห็นในชีวิตจริงไว้ แล้วไปดูที่คุณครูสอนการสร้างภาพจากกระจกนูนด้วยการวาดรูปในห้อง
1. เส้นแรกลากขนานแกนมุขสำคัญ เมื่อถึงผิวกระจกให้หักเหลงไปตัดจุด F (จุด focus)
กรณีนี้เป็นกระจกนูน ให้นึกถึงลูกแก้วที่เป็นทรงกลมใส เมื่อแสงกระทบลูกแก้วใส แสงต้องผ่านเข้าไปในทรงกลมแก้ว แต่เนื่องจากในความจริงเป็นเพียงผิวกระจกนูนที่มีความโค้งคล้ายผิวนอกลูกแก้วเท่านั้น แสงที่ตกกระทบจึงสะท้อนออก แล้วเราต่อเส้นเสมือนว่า แสงเข้าไปในทรงกลมจริงๆ
2. เส้นที่ 2 ลากผ่านจุดศูนย์กลางความโค้งของกระจกนูน (หรือ Center ของทรงกลมนี้ได้เลย)
จะเห็นว่า ภาพเกิดจากการต่อเส้นประ (ไม่ใช่ ray จริงๆ ของแสง) ภาพที่ได้จึงเป็น ภาพเสมือน

การเกิดภาพจากกระจกนูนเกิดจากการต่อเส้นประ เหมือนการเกิดภาพจากกระจกเงาแบนราบ
ดังนั้นภาพที่ได้จากกระจกทั้ง 2 ชนิด จึงเป็นภาพเสมือน
แสดงภาพที่เกิดจากกระจกนูน ไม่ว่าเราจะยืนหน้ากระจกไกล หรือ ใกล้ ขนาดไหน (ยกเว้นระยะอนันต์ และยืนเอาหน้าแนบกระจก) ภาพที่ได้จะเป็นภาพเสมือนหัวตั้ง และมีขนาดเล็กกว่าวัตถุจริงเสมอ

ok ทีนี้มาเรื่องกระจกเว้าที่อยู่ในโจทย์ ทันตแพทย์ถือกระจกเว้า
มาดูการวาดรูปการเกิดภาพจากกระจกเว้าที่คุณครูสอน
หมอจะถือ mouth mirror ที่ทำจากกระจกเว้าในมือ (ในชีวิตจริง หมอไม่ต้องคำนวณระยะ แต่ใช้วิธีเคลื่อน mouth mirror ลากไปมาเข้าและออกจากฟัน จนเห็นภาพฟันในกระจกชัดที่สุด )
รูปแสดงระยะที่เกิดภาพที่ทันตแพทย์เห็นฟันชัด
หลักการเดิม
1.เส้นที่ 1 ลากขนานแกนมุข กระทบผิวกระจกแล้วตัดผ่านจุด F (เพราะเป็นกระจกเว้า จุด Center ของวงกลมจึงอยู่หน้ากระจก)
2. เส้นที่ 2 ลากจากวัตถุผ่านจุด C
จากเส้นที่ได้ ไม่สามารถตัดกันหน้ากระจกได้ แต่เราต้องต่อเส้นประออกไปหลังกระจก จึงจะเกิดจุดตัดของเส้น 1 และ 2 เป็นภาพ
ภาพที่ได้จึงเป็นภาพเสมือน มีขนาดขยายใหญ่กว่าวัตถุ

แต่กระจกเว้า ไม่ได้ทำให้เกิดภาพเสมือนหัวตั้ง ขนาดใหญ่กว่าวัตถุเท่านั้น เพราะถ้าทันตแพทย์ขยับ mouth mirror ไปที่ระยะอื่น เช่น วางกระจกอยู่ห่างจากฟันมากๆ จะเกิดรูปแบบนี้
แทนที่จะเป็นภาพขยาย แต่ภาพที่ได้จะเป็นภาพจริงหัวกลับที่เล็กกว่าวัตถุ ได้ด้วย
คือ ภาพเกิดหน้ากระจก ใช้ฉากรับภาพได้ (ภาพจริง) ถ้าเอากระดาษเล็กๆ ไปวางระหว่าง mouth mirror กับฟัน จะเกิดภาพฟันซี่เล็กๆ กลับหัวกับฟันจริงบนกระดาษ

รูปแสดงการเกิดภาพจากกระจกเว้า ที่ได้ตั้งแต่
-ภาพจริงหัวกลับ เล็กกว่าวัตถุ
-ภาพจริงหัวกลับ เท่าวัตถุ
-ภาพจริงหัวกลับ ใหญ่กว่าวัตถุ
-ภาพเสมือนหัวตั้ง ใหญ่กว่าวัตถุ (ภาพที่ทันตแพทย์เห็นจาก mouth mirror ที่ในโจทย์ต้องการ)

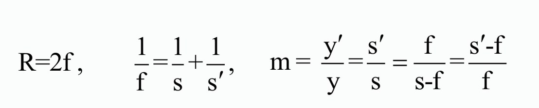
อันนี้คือสูตรที่ลูกได้จากโรงเรียนกวดวิชา ตั้งแต่ตอนอยู่ ป.6 สูตรที่ง่าย ไม่ซับซ้อน ใช้การแทนค่าอย่างเดียว แต่ใน Class คุณครูคงแสดงที่มาของสูตร โดยใช้เรขาคณิตและตรีโกณมิติ

R = รัศมีความโค้งของกระจกที่มี C เป็นจุดศูนย์กลาง และ ระยะ F= C/2 = f
เมื่อแทน R = 2f
S = ระยะวัตถุ, S’ = ระยะภาพ
y = ขนาดวัตถุ, y’ = ขนาดภาพ

ค่ากำลังขยาย (M หรือ m) = (ขนาดภาพ / ขนาดวัตถุ) = (ระยะภาพ / ระยะวัตถุ)

การพิสูจน์ใช้ตรีโกณมิติสามเหลี่ยมคล้าย
รูปสามเหลี่ยมสีชมพู และ สามเหลี่ยมสีเขียว คือ สามเหลี่ยมคล้าย ดังนั้นด้านที่สมมาตรกันจะมีขนาดเป็นสัดส่วนเดียวกัน (เรขาคณิต)


เข้าความสัมพันธ์
เพื่อจัดรูปสมการใหม่
เขียน M ในรูป S’

เขียน M ในรูป S (อย่าลืมที่พ่อสอนให้ใช้กระดาษอย่างคุ้มค่าที่สุด)

ได้เป็น

ทีนี้เรามาทำโจทย์กัน

M = f/(s-f) = 2/(1-2) = -2
ทันตแพทย์จะเห็นฟันในกระจกขยาย 2 เท่า ตอบข้อ ข.
ที่ได้ค่าติดลบ เพราะอย่าลืมว่า ภาพที่ได้เป็นภาพเสมือน (ใหญ่กว่าวัตถุ เกิดหลังกระจก) กำลังขยายของภาพเสมือนจะเป็นลบ

ตั้งแต่ทำงานมา พ่อเคยเจอ mouth mirror ที่เป็นกระจกเว้า แค่ครั้งเดียวเท่านั้น
เคสนั้นผู้ช่วย หยิบกระจกให้ผิด เพราะเป็นกระจกสำหรับหมอ Endo ใช้ในการหา canal orifice จากกำลังขยายของกระจก แต่ปัจจุบันเรามีเครื่องมือช่วยการมองที่ดีกว่ากระจกเว้ามาก
เรามีอะไรบ้าง?
อาวุธเบาสุด คือ Loupe กำลังขยาย 2.5x และเก็บคำว่า distort ทิ้งไปได้เลย


ส่วนอันนี้คือ อาวุธหนัก Microscope



ค่ากำลังขยายของมัน

มองหา Crack line ได้ clear เลยระดับนี้
ตัวเลข 2.5x ไม่ใช่ 2.5 เท่านะ เป็นแค่ตัวคูณตัวนึงของกำลังขยาย M เท่านั้นเอง (Operator ปรับได้)
M จริงๆ = 21.25
( 21.25 คิดจาก ระยะภาพของเลนส์ตา/ระยะวัตถุจากเลนส์วัตถุ =(12.5x170x2.5)/250)

ถ้าเราแบ่งประเภท mouth mirror ตามลักษณะที่ทำให้เกิดภาพจะได้เป็น 2 ชนิด คือ
1. Front surface mouth mirror หรือ First surface mouth mirror
เป็น mouth mirror ที่สะท้อนแสงทำให้เกิดภาพจากผิวแรกของกระจก

2. Back surface mouth mirror หรือ Second surface mirror
เป็น mouth mirror ที่สะท้อนแสงทำให้เกิดภาพจากผิวด้านหลังกระจก
จากรูป แสง L ที่ตกกระทบจะสะท้อนออกเป็น R และ R2
ภาพที่มองเห็นจากเกิดจาก R2 เป็น ภาพหลัก (Principle image) แต่จากรูปเราจะเห็น R สะท้อนออกมาด้วย จึงทำให้เห็นภาพที่สอง (secondary image) ซ้อนกับภาพหลักเสมอ เราเรียกภาพที่เป็นเงาซ้อนนี้ว่า Ghost image (ภาพที่เกิดจาก R)

แสดงการเกิด Ghost image ของกระดาษที่ส่องผ่านกระจกทางซ้ายมือ

เทคนิคที่เราใช้ลดการเกิด Ghost ทำได้โดยลดความหนาของกระจก เมื่อความหนาของ glass ลดลง การเกิด Ghost จะน้อยลง (แต่ก็ยังมีอยู่)
A หนาสุด > B > C จะเห็น R และ R2 เข้าใกล้กันมากขึ้น แต่ถ้าจะทำให้ Ghost หายไปมีวิธีเดียวคือ ต้องทำให้เกิดการสะท้อนแบบ Front surface แบบในรูป D เท่านั้น

ในสมัยที่โลกยังไม่มี Glass นั้น กระจกชิ้นแรกที่เกิดจากการประดิษฐ์ของมนุษย์ (ไม่นับการส่องหน้าในน้ำ) คือ การนำ Alloy เช่น Bronze มาขัดให้เรียบที่สุดเท่าที่จะทำได้ แล้วนำมาทำเป็นกระจก
กระจกชนิดแรกที่ใช้จึงจัดเป็น Front surface mirror จนกระทั่งเรารู้จักและเริ่มผลิด Glass จนเกิดการ coat ฉากหลังของ Glass กลายเป็นจุดเริ่มต้นของกระจกเงาชนิดแบนราบ (Plane (Flat) surface) ซึ่งเป็น Back surface mirror (กระจก Bronze เกิดรอยขีดข่วนได้ง่าย แต่ Glass ทนต่อการเกิดรอยมากกว่า)
รูปแสดง ซ้ายมือสุดเป็น Concave mouth mirror, ตรงกลางเป็น Back surface mouth mirror และขวามือสุด คือ กระจกส่องปากที่ทันตแพทย์ใช้ในปัจจุบัน (Front surface mouth mirror ที่เกิดการสะท้อนจากชั้นผิวจากการ coat surface ด้วย Rhodium)

ลองมาดูภาคตัดขวางของ mouth mirror (silicone ด้านหลังเพื่อ water proof และ support กันไม่ให้ glass ขยับ)

Front-surface Rodium coated mouth mirror

เปรียบเทียบความคมชัดของ Back surface mirror จะเห็น Ghost ตรงรูป X เกิดภาพซ้อนทำให้สับสน, ส่วนขวามือใช้กระจก Rh-coated สะท้อน จะเห็นว่า กำจัด Ghost ได้แล้ว เห็น gingival floor และ carvosurface margin ชัดเจน

ที่จริงแล้วมีโลหะหลายตัวที่นำมา coat ผิวของกระจกได้ แต่ Rh มีคุณสมบัติที่โดดเด่นกว่า คือ
1.Rh มี Corrosion resistance สูงมาก ตัวมันเองมี melting point ที่ 1964 ‘C และเมื่อนำมาทำ alloy กับ Pt หรือ Pd จะได้ hardess และ durability ที่สูงขึ้นอีก
2. Rh,Cr และ Ti เป็นโลหะที่นิยมนำมา coat ผิวกระจก เนื่องจากมีการสะท้อนแสงได้ดีมาก แต่ Rh มี tarnish ต่ำที่สุด ทำให้อายุการใช้งานของกระจกยาวนานกว่า

3.Rh มี reflectivity rating = 84% ซึ่งถือว่าสูง แม้เมื่อเทียบกับ Ag ที่ได้ 95% และ Al ที่ 90% ไม่ได้ แต่ Ag และ Al มี tarnish ได้ง่าย (Al ที่จริงมี corrosion resistant ที่ดี แต่ข้อเสียคือ ถูก oxidize ได้ง่าย) โดยรวม Rh จึงถือว่ามี reflectivity, strength และ corrosion resistance ที่โดดเด่นกว่า
แสดงชั้น Rh ที่ถูก coat ไว้บนผิว glass

คลิปนี้อธิบายคุณสมบัติการสะท้อนแสงที่โดดเด่นของ Rh
แม้ตอนนี้จะมี mouth mirror ที่มีการ coat ผิวกระจกแบบใหม่ที่ดีกว่า แบบ Standard Rh coating แต่ Front surface Rhodium coated mouth mirror ที่ถูกสร้างขึ้นตั้งแต่ช่วงปี ค.ศ.1950 ก็ยังมีใช้กันอย่างแพร่หลายจนถึงทุกวันนี้
รูปแสดง HD mouth mirror เทียบกับแบบ Rhodium coat

โดยสรุป mouth mirror ที่ใช้ทำ Oral examination ในปัจจบันไม่ใช้ Concave mirror แต่ใช้ Front surface mirror ที่ให้ภาพการสะท้อนเหมือนกระจกเงาแบน
การเกิดภาพใช้หลักเรขาคณิตของกระจกเงา
ขนาดภาพ = ขนาดวัตถุ
ระยะภาพ = ระยะวัตถุ

สิ่งที่ต้องคำนึงเมื่อใช้ mouth mirror ที่มีการเกิดภาพแบบกระจกเงา
1. ขนาดของภาพ
ขนาดเส้นผ่าศูนย์กลางของ mouth mirror จะมีความยาวเป็น 2 เท่าของขนาดฟันและบริเวณที่ต้องการมองเห็น
จากรูปสามเหลี่ยมบนและล่างเป็นสามเหลี่ยมคล้าย
ถ้าขนาดของวัตถุ = 2y กระจกต้องมีเส้นผ่าศูนย์กลางอย่างน้อย = y จึงจะมองเห็น cover บริเวณที่ต้องการทั้งหมด

ขนาดกระจก no.4 = 22 มม. คือครอบคลุมขนาดฟันที่มองเห็นมากที่สุดเป็นระยะ = 2×22 = 44 มม. (หมายความว่า เคลื่อนกระจกออกไปจนได้ระยะครอบคลุมมากที่สุด เท่าที่ operator มองผ่านกระจก)

2. ผลที่เกิดจากการเคลื่อนฟันเข้าหากระจก กับ การเคลื่อนกระจกเข้าหาฟัน จะให้ผลออกมาไม่เหมือนกัน
-กรณีแรก เคลื่อนฟันเข้าหากระจก
S1 = S’1 และ S2 = S’2
S1 = y + S2 และ S’1 = S’2 + x
y + S2 = S’2 + x = S2 + x
y = x
เวลาที่ใช้ในการเคลื่อนฟันเข้าหากระจก = t
ความเร็วของฟัน = v1 = y/t
ความเร็วของภาพฟันใน mouth mirror = v2 = x/t = y/t = v1
ดังนั้น ความเร็วของฟัน = ความเร็วของภาพฟันในกระจก

– กรณีที่ 2 เป็นการเคลื่อน mouth mirror เข้าหาฟัน
S1 = S’1 และ S2 = S’2
S1 = S2 + y และ S’2 + x – y = S’1
S2 + y = S’2 + x – y
y = x – y
2y = x
mouth mirror เคลื่อนที่ได้ระยะ y และภาพฟันในกระจกเคลื่อนที่ได้ระยะ x ในเวลาเท่ากัน = t
ความเร็วในการเคลื่อนที่ของกระจก = v1 = y/t
ความเร็วในการเคลื่อนที่ของภาพฟันกระจก = v2 = x/t = 2y/t
ดังนั้น v2 = 2 v1
คือ ความเร็วในการเคลื่อนที่ของภาพฟันใน mount mirror จะเร็วเป็น 2 เท่าของการเคลื่อนที่ของกระจก

นั่นคือ เวลาทดสอบ mobility test จึงไม่แนะนำให้ใช้การมองไม่ว่าจะมองแบบ direct และ/หรือ indirect แต่ควรใช้ด้าม mouth mirror 2 ชิ้น วางหน้าและด้านหลังฟันที่ทดสอบ แล้วจึง pressure ผ่านในแนว Bucco-lingual เพราะการใช้ visual ถือเป็น subjective สำหรับ test นี้

Ref:
1. http://stwschool.ac.th/Download/Jame-Skill1.pdf
2. http://www.science.cmru.ac.th/sciblog_v2/blfile/201_s120317072807.pdf
4. http://www.pm.ac.th/files/1205031717312916_1512040554116.doc
7. https://www.sciencedirect.com/science/article/abs/pii/S0002817750140093
8. http://www.beauty-teck.com/index.php?route=journal2/blog/post&journal_blog_post_id=11
11. https://itunes.apple.com/us/app/the-elements-by-theodore-gray/id364147847?mt=8
12. https://www.hu-friedy.com/sites/default/files/208_HF-409_Mirror_Brochure_0914_MC.pdf
13. https://www.slideshare.net/mobile/AnkitaDadwal2/periodontal-instruments-60233726
14. https://www.elsevier.com/books/cohens-pathways-of-the-pulp/berman/978-0-323-67303-7